-
BOJ 1003 : 피보나치 함수백준 문제풀이/Dynamic Programming 2020. 1. 4. 23:03
문제
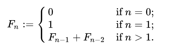
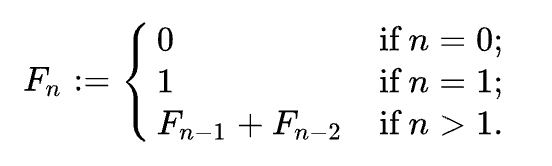
다음 소스는 N번째 피보나치 수를 구하는 C++ 함수이다.
int fibonacci(int n) {
if (n == 0) {
printf("0");
return 0;
} else if (n == 1) {
printf("1");
return 1;
} else {
return fibonacci(n‐1) + fibonacci(n‐2);
}
}
fibonacci(3)을 호출하면 다음과 같은 일이 일어난다.
- fibonacci(3)은 fibonacci(2)와 fibonacci(1) (첫 번째 호출)을 호출한다.
- fibonacci(2)는 fibonacci(1) (두 번째 호출)과 fibonacci(0)을 호출한다.
- 두 번째 호출한 fibonacci(1)은 1을 출력하고 1을 리턴한다.
- fibonacci(0)은 0을 출력하고, 0을 리턴한다.
- fibonacci(2)는 fibonacci(1)과 fibonacci(0)의 결과를 얻고, 1을 리턴한다.
- 첫 번째 호출한 fibonacci(1)은 1을 출력하고, 1을 리턴한다.
- fibonacci(3)은 fibonacci(2)와 fibonacci(1)의 결과를 얻고, 2를 리턴한다.
1은 2번 출력되고, 0은 1번 출력된다. N이 주어졌을 때, fibonacci(N)을 호출했을 때, 0과 1이 각각 몇 번 출력되는지 구하는 프로그램을 작성하시오.
입력
첫째 줄에 테스트 케이스의 개수 T가 주어진다.
각 테스트 케이스는 한 줄로 이루어져 있고, N이 주어진다. N은 40보다 작거나 같은 자연수 또는 0이다.
출력
각 테스트 케이스마다 0이 출력되는 횟수와 1이 출력되는 횟수를 공백으로 구분해서 출력한다.
풀이

피보나치 함수식 이문제는 문제에서 제시된 접근방식인 재귀를 사용하면 시간초과로인해
문제를 풀수없습니다.
이문제는 DP 를 사용해야 합니다.
사실 피보나치 함수는 동적 계획법(DP)를 가장 처음 이해할때 배우는 함수입니다.
DP를 사용하면 왜 시간이 줄어드냐?
그건 여기를 보시면 나오지만 간단히 얘기하면 메모이제이션이란 기법을 사용하기 때문입니다.
나머지는 코드를 보시면 이해되실거라 생각합니다.
코드
#include <iostream> #include <algorithm> #include <vector> using namespace std; int main() { int t; cin >> t; //테스트케이스 while (t--) { int n; cin >> n; vector<pair<int, int>> fi(41); //피보나치를 메모이제이션 기법을 이용한 //DP 알고리즘을 사용하여 접근한다. fi[0] = make_pair(1, 0); fi[1] = make_pair(0, 1); //초기값 for (int i = 2; i <= n; i++) { int zero = fi[i - 1].first + fi[i - 2].first; int one = fi[i - 1].second + fi[i - 2].second; fi[i] = make_pair(zero, one); } cout << fi[n].first << ' ' << fi[n].second << endl; } return 0; }반응형'백준 문제풀이 > Dynamic Programming' 카테고리의 다른 글
BOJ 2293 : 동전 1 (0) 2020.01.23 BOJ 10942 : 팰린드롬? (0) 2020.01.23 BOJ 11048 : 이동하기 (0) 2020.01.02 [DP] BOJ 9465 : 스티커 (0) 2019.08.30 [DP] BOJ 2193 : 이친수 (0) 2019.08.30